S/W 비용 추정(cost estimation)의 정의
•
S/W 시스템을 개발하기 위해 필요한 노력을 예측하는 프로세스
•
S/W 개발 비용의 대부분은 工數(person-month)로 표현되는 인간의 노력(effort). 대부분의 추정 기법은 여기에 초점을 맞춤.
S/W 비용 추정의 중요성
•
개발자 및 고객 모두에게 매우 중요(critical) : RFP, 계약, 스케줄링, 모니터링, 제어 모두에 사용
•
전체 비즈니스 계획에 따라 개발 프로젝트를 분류하고 우선순위를 설정을 도움
•
프로젝트에 어떤 리소스를 투입할지, 해당 리소스가 어떻게 잘 사용될지를 결정
•
변화와 재계획 지원의 영향을 평가
•
프로젝트의 관리와 제어가 용이해짐
•
고객은 추정된 비용 내에 실제 개발 비용을 기대
S/W 비용 추정의 결정 사항
•
노력(effort; 일반적 척도는 工數)
•
프로젝트 기간(일반적 척도는 calendar time)
•
비용(일반적 척도는 원/달러)
•
대부분의 추정 모델이 결정하고자 하는 대상은 노력. 노력은 프로젝트 기간과 비용으로 환산됨
잘된 s/w 비용 추정의 특징
•
이해성: 비용 추정이 프로젝트 관리자와 개발 팀에게 이해되고 지원됨
•
현실성: 모든 이해관계자에게 현실적임을 인정받음
•
신뢰성: 믿을 만한 기반 위의 잘 정의된 S/W 비용 모델에 기초
•
경험으로 구축된 데이터베이스: 해당 프로젝트와 관계된 프로젝트의 경험(비슷한 프로세스, 환경, 기술, 사람 및 요구사항 등)에 녹아 든 데이터베이스에 기초
•
세부 항목 정의: 세부 항목이 충분히 정의되어 있어, 주요 위험 영역이 식별되고 성공 가능성이 확실이 평가되어있음
추정의 어려움 : 개발에 있어 가장 어려운 부분 중 하나
•
비용 측정에 관한 역사적 DB의 부재
•
S/W 개발은 여러 인자가 밀접히 관계됨. 이들 인자는 개발 노력 및 생산성에 영향을 주며, 이들간 관계는 잘 알려지지 않음
•
훈련된 추정가의 부재
•
부실한 추정에 대해 패널티가 거의 없음
추정 프로세스
비용 추정은 계획 프로세스의 주요 부분
•
프로젝트 관리자는 전반적 기능성, 크기, 프로세스, 환경, 사람, 품질 특성을 개발
•
전체 노력과 스케줄에 대한 거시적 수준의 추정은 S/W 비용 추정 모델을 사용하여 개발됨
•
PM은 추정된 노력을 TOP-LEVEL의 WBS(Work Breakdown Structure)로 나눔. 또한 스케줄을 주요 이정표(milestone) 일자로 나누고, 프로젝트 계획을 함께 이루는 스탭의 프로파일을 결정
실질적 비용 추정 프로세스는 7단계로 나뉨
1.
비용 추정 목표 수립
2.
필요로 하는 데이터와 리소스를 위한 프로젝트 계획을 생성
3.
S/W 요구사항 fix
4.
S/W 시스템 설계를 실행 가능한 수준으로 상세화
5.
여러 독립적 비용 추정 기술을 사용하여 추정 기법 개개의 장점을 취합
6.
추정 결과치를 비교 및 추정 프로세스 반복
7.
프로젝트가 시작된 후에는 실제 비용과 진행 및 프로젝트 관리 결과 피드백을 모니터링
추정 시 주의 사항
•
추정 범위(모델의 추정 가능 범위에 주의. 전체 생명주기를 지원하는 모델도 있는 반면 요구사항 단계만 추정할 수 있는 모델도 존재)
•
모델의 단위(calibration)와 가정
•
각기 다른 모델 parameter에 따른 추정 결과의 민감성
•
실제 비용에 대한 추정의 편차
S/W 크기 측정
S/W 크기는 S/W 비용에 가장 큰 영향을 주는 인자. 실전에서 주로 5가지의 S/W 크기 척도가 사용되는데, 이중 LOC와 FP가 가장 많이 사용됨
LOC(Line Of Code)
•
S/W에 대한 인수된 소스 코드의 라인 수로서, 주석과 공백 라인은 counting에서 제외.
•
프로그래밍 언어에 종족적임에도 불구하고, S/W 크기 측정에 가장 광범위하게 사용.
•
대부분의 모델이 S/W 비용 산정에 본 척도를 사용.
•
정확한 LOC는 프로젝트가 완료된 이후에야 산정 가능. 실제 빌드 전에 LOC 크기 예측은 프로그램의 비용 추정 만큼이나 어려움
•
코드 크기 추정의 전형적 방법 : 전문가의 판단과 함께 PERT 기법 사용
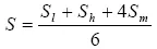
•
PERT 공식
◦
Sl: 최소 가능 크기, Sh: 최대 가능 크기, Sm : 가장 근접한 크기
◦
각각의 component에 대한 크기를 측정 후 합산하여 전체 S/W 시스템의 크기를 측정하기도
S/W science
•
Hastead에 의해 코드 길이(code length)와 볼륨(volume) 척도로 제안됨. 코드 길이는 소스 코드 프로그램 길이를 측정하기 위해 사용되며 다음과 같이 정의됨
N = N1 + N2 (N1: 전체 연산자 개수, N2 전체 피연산자 개수)
•
볼륨은 필요 저장 공간의 양에 대응되며 다음과 같이 정의됨
V = N * log(n1 + n2) (n1 : 각기 다른 연산자의 개수, n2 : 각기 다른 피연산자의 개수)
•
내부 이론에 대한 논쟁으로 인해, 최근에는 잘 사용되지 않음
Function Points(FP)
•
프로그램의 기능성에 기반한 측정 단위. FP의 전체 점수는 아래 다섯 개의 각기 구분되는 형식의 점수 합산에 따름.
1.
User-input types(EI) : 데이터 또는 제어 사용자 입력 타입
2.
User-output types(EO) : 시스템에서 사용자에게로 나가는 산출 데이터 타입
3.
Inquiry types(EQ) : 응답을 얻기 위한 대화형 입력(interactive input)
4.
Internal file types(ILF) : 시스템 내에서 사용되고 공유되는 논리적 정보 집합(group)
5.
External file types(EIF) : 시스템 간에 주고받고 공유되는 파일.
•
이들 각각의 타입에는 세 가지의 복잡도 수준(complexity level. 1: simple, 2: medium, 3: complex) 값이 할당됨과 동시에 (3 ~ 15)까지 달라지는 가중치가 주어짐
UFC(Unadjusted Function-point Counts). N과 W는 각각 값과 가중치를 뜻함. i는 타입의 종류, j는 복잡도. 어떤 프로젝트의 function-point count가 2개의 simple input(W = 3)과 2개의 complex output(W = 7)이고 1개의 internal file(W = 15)일 경우, UFC는 2 * 3 + 2 * 7 + 1 * 15 = 35 임.
•
초기 Function-point Count는 비용 추정에 직접 사용되거나, 프로젝트의 전체 복잡도에 따른 인자 값에 의해 수정됨.
•
인자 값은 분산 프로세싱의 정도, 재사용 코드의 양, 요구사항의 성능 등이 고려됨
•
최종 Function-point Count는 UFC에 복잡도 인자(complexity factor; VAF: value added factor) 값의 곱. AFP = UFC * VAF
•
UFC는 코드 크기 추정에 사용되기도. LOC = a * UFC + b (a, b는 선형 회귀와 이전에 종료된 프로젝트 데이터를 통해 얻음)
Extensions of function point : Feature point
•
FP를 확장하여 새로운 종류로 알고리즘을 추가.
•
알고리즘은 중요 계산 문제를 풀기 위해 완전히 표현되는 규칙의 집합으로 정의됨
•
각각의 알고리즘에는 1 ~ 10까지의 가중치가 주어짐. 나머지 계산은 기존의 FP에 가중치가 적용된 각각의 알고리즘 타입 값의 합산
•
FFP(Full Function Point) 역시 FP 확장의 일부로서, 2개의 data function control 타입과 4개의 control transactional function 타입을 추가
Object points
•
Feature point나 FFP와는 달리, FP와는 다른 각도에서 개체 포인트를 측정
•
screen, report, 3GL component 등의 개체 개수 및 복잡도에 기반하여 측정
•
가중치는 1(단순 screen) ~ 10(3GL component)으로 이후 계산은 FP와 동일
•
개발 생명 주기의 초기 단계에서 사용이 간단하고 S/W 크기를 합리적으로 측정하므로, COCOMO II와 같은 비용 측정 모델에서 주된 측정 모델로 사용됨.
비용 측정(cost estimation)
•
비용 측정의 종류는 측정 방향 또는 알고리듬 사용 유무로서 구분 가능함. 측정 방향에 따른 구분으로,
•
상향(Bottom-up)
◦
각 component를 먼저 추정하고 그 결과를 합하여 전체 시스템의 추정 결과를 얻음.
◦
초기 설계 및 시스템이 어떻게 각 component로 나뉘었는지를 알아야 할 선결 조건이 있음
•
하향(Top-down)
◦
상향 기법과 반대. 모든 비용 추정은 전역 속성으로부터 도출됨
◦
알고리즘 방식과 비 알고리즘 방식 모두가 사용됨
◦
초기 단계에서의 비용 추정에 알맞음
비 알고리듬 기반 기법
비용 유추(Analogy costing)
•
측정 대상이 되는 프로젝트와 유사한 하나 또는 그 이상의 프로젝트가 완료되었을 때 사용
•
앞선 프로젝트의 실 비용을 이용하여 측정 대상 프로젝트의 비용을 유추
•
전체 시스템 및 하위 시스템 추정 모두에 사용 가능
•
실제 프로젝트 경험에 기반하여 추정하기에 정확도가 높음
•
앞선 프로젝트에 비해 어떤 사항(제약 조건, 환경, 기능 등)이 확장되었는지가 명확해야.
전문가 판단(Expert judgment)
•
1명 이상의 추정 전문가가 개입. 전문가는 그들만의 방법과 경험을 통해 추정.
•
Delphi, PERT와 같은 전문가의 의견 일치(consensus) 메커니즘을 이용하여 추정 결과의 비일관성을 해결
•
Delphi 기법
1.
Coordinator는 각 전문가에게 명세와 양식을 주어 추정 결과와 원칙을 기록하게 함
2.
각각의 전문가는 독립적으로 추정 결과를 기입. Coordinator에게로의 질문은 허용됨
3.
Coordinator는 추정 결과 요약(평균과 median 값 사용) 및 추정 원칙과 후속 단계의 전문가 추정 요청 내용이 기입된 양식을 준비
4.
2와 3 단계를 적절한 수준에 이를 때까지 반복
파킨슨의 법칙(Parkinson's Law)
•
'작업은 가용한 부피에 맞게 채워진다(work expands to fill the available volume)'란 법칙을 이용. 비용은 결정목표 평가가 아닌 가용 리소스에 의해 결정됨(추정이 아님)
•
때로는 좋은 추정 방법이 되기도 하지만, 매우 비현실적 추정 결과로 인해 권장되지 않음. 또한 S/W 공학의 내재적 역량(practice)를 증대시키지도 않음
획득 가능 가격(Price to win)
•
S/W는 비용은 프로젝트를 따내기 가장 좋은 가격에 의해 추정됨
•
S/W의 기능성이 아닌 고객의 예산에 기반하여 추정됨
•
이 역시 파킨슨의 법칙 기법과 마찬가지로 권장되지 않음(프로젝트를 따내기 위한 억지 추정의 위험 내포)
알고리즘 기반 기법(Algorithmic methods)
•
주요 비용 인자(factor)로 여겨지는 변수들 간의 함수를 통한 비용 추정치를 제공하는 수학적 모델에 기반
•
모든 알고리즘 기반 모델은 의 형식을 취함. (x1, x2… xn은 비용 인자를 뜻함)
•
분석적(Putnam, SoftCost) 또는 경험적(empirical) 모델(대부분의 알고리즘 기반 모델)로 나뉨
•
비용 인자(cost factor): 4개의 타입으로 나뉨(product factor, Computer factor, Personnel factor, Project factor)
•
선형 모델(Linear model), 배수적 모델(multiplicative model), 지수적 모델(Power function model; COCOMO81, COCOMO II, Putnam 모델 및 SLIM), 선형 회귀를 이용한 조정 모델(Model calibration using linear regression), 이산 모델(Discrete models) 등이 존재.
•
많은 알고리즘 기반 기법이 제시되었음에도 불구하고, 대부분의 모델 성능이 만족스럽지 못함.
•
한 조사에서는 오직 7%의 추정가 만이 알고리즘 모델을 주된 추정 기법으로 사용한다고.
모델 성능 평가(Measurement of model performance)
•
가장 유명한 오류 측정 기법은 MARE(Mean Absolute Relative Error)
•
비용 평가 모델 평가의 주요 기준 : 정의(definition), 충실성(Fidelity), 객관성(Objectivity), 구조성(Constructiveness), 상세성(detail), 안정성(stability), 범위(scope), 사용성(Ease to use), Prospectiveness, Parsimony 등.
실무자(practitioner)의 추정에 관한 주요 질문 사항 및 전문가 판단 기법
•
어떤 비용 추정 모델을 사용할 것인가?
•
어떤 S/W 크기 측정 단위(measurement)를 사용할 것인가? - LOC, FP, feature point 등
•
어떻게 하면 추정을 잘 할 것인가?
•
실제적으로 가장 광범위하게 사용되는 추정 기법은 전문가 판단(expert judgment) 기법. 하지만 다음과 같은 문제를 드러냄
◦
반복 가능하지 않으며, 명시적이지 않은 추정 결과를 냄
◦
모든 새로운 프로젝트마다 실력 있는 추정 전문가를 투입하기 어려움
◦
비용과 시스템 크기간 관계는 비 선형적. 비용은 크기에 대해 지수적인 증가 추세를 보임. 전문가 판단 기법은 오직 현재의 프로젝트와 (해당 전문가가 추정했던) 이전의 프로젝트가 비슷할 경우에만 적절
◦
비용 초과를 피하기 위한 관리에 의한 예산 조정(budget manipulation)은 이전 프로젝트로부터의 경험과 데이터를 의문시되게 만듦.
최신 기법 및 결론
•
최근에는 AI에 기반한 (Neural network 및 CBR 등) 추정 기법이 개발되기도. 또한 COBRA와 같은 hybrid형(전문가 판단 및 양적 프로젝트 데이터에 기반한) 추정 기법이 나타나기도 함.
•
높은 수준의 정확성을 지닌 추정 기법은 없음. 이유는 결국 개발 시스템 환경의 변화임.
•
추정 수준을 높이기 위해서는 프로젝트의 불확실성을 최대한 줄여야.
References
•
Software Development Cost Estimation Approaches – A Survey, Barry Boehm, Chris Abts University of Southern California, Los Angeles, CA 90089-0781, Sunita Chulani, IBM, Research, 650 Harry Road, San Jose, CA 95120
•
Software Cost Estimation, Hareton Leung, Zhang Fan, Department of Computing, The Hong Kong, Polytechnic University {cshleung, csfzhang}@comp.polyu.edu.hk


